On peut calculer la valeur R d'une façade et supposer à première vue que tout notre assemblage mural y correspondra uniformément. Mais la prise en compte des ponts thermiques causés par les matériaux conducteurs, des discontinuités dans l'isolation et des ouvertures dans les structures permettent de soupçonner que ce n'est pas le cas.

Et le problème posé par les ponts thermiques ne se limite pas seulement à la perte de chaleur et aux factures plus élevées qui en découlent. Il s'agit aussi d'une question de confort, de qualité de vie et de durabilité. Les ponts thermiques ont également des répercussions sur la durabilité en créant des points froids qui augmentent le risque de condensation. Ainsi, au-delà de la perte de chaleur et de confort, les ponts thermiques provoquent des moisissures et de la pourriture, menaçant ainsi la qualité de l'air et l'intégrité structurelle d'un bâtiment.

Comment identifier les ponts thermiques dans ses murs? On peut essayer de repérer les endroits avec des jonctions structurelles, ou bien encore tenter de les percevoir en passant sa main sur les murs, mais seule une caméra thermique nous donnera l'heure juste. En effet, une différence de quelques degrés dans les murs ne se sentira pas à mains nues. Ceci dit, il y a des ponts thermiques dans toutes les constructions, car les ponts thermiques sont tout simplement les points de faiblesse de l'enveloppe thermique, et les fenêtres en sont des gros!

Qu'est-ce qu'un pont thermique?

Un pont thermique est une faiblesse dans l’enveloppe thermique : une zone où la valeur maximale d’isolation est interrompue par des éléments de structure, d’attache, ou autre, et donc une zone de déperdition de chaleur plus importante. Et avec la plupart des types d'assemblages muraux, nous n'avons guère d'autre choix que d'utiliser un matériau conducteur de chaleur pour l'ossature (bois, métal, béton). 

Il est préférable d’en tenir compte lors de la phase de conception pour obtenir la performance réelle des murs visée. Par exemple, la pose d'isolant R19 avec des montants en bois de 2" x 6" à 16" c.c.  donne une valeur équivalente à R16 en tenant compte des ponts thermiques. Cette différence sensible témoigne de la relativement faible conductivité thermique des montants de bois. La valeur R réelle ou « effective » d'un mur dans sa globalité est également influencée par la qualité et le nombre de fenêtres que vous installez.

Il est important de tenir compte de ces éléments qui altéreront la performance de l'enveloppe, car évaluer la performance énergétique d'un mur en négligeant de prendre en compte les ponts thermiques revient un peu à essayer de calculer le temps pour un trajet en automobile sans tenir compte des feux de circulation. Vos conclusions seront tout simplement trop optimistes. 

Consultez notre recueil de dessins techniques pour une bonne conception des murs, qui réduit les ponts thermiques.

Où se situent les ponts thermiques?

Les ponts thermiques qui provoquent d'importantes pertes de chaleur ne se limitent pas aux montants d'un mur. Ils comprennent un manque d’isolation, les discontinuités dans l'isolation dues à la présence de matériaux structuraux conducteurs (il faut savoir poser le bon isolant au bon endroit), les jonctions d'angles, le dessous des semelles de fondation, les portes et fenêtres, l'isolation mal posée (ponts thermiques de convection), les jonctions de dalles de béton aux murs et aux balcons, les ouvertures de service (ponts thermiques structurels) et les ponts thermiques de « pénétration » tels que causés par les poutres métalliques en l qui traversent les assemblages de murs.

Nous avons écrit un article complet sur les ponts thermiques des balcons, une problématique très importante dans les nouvelles constructions. Nous vous invitons à le consulter pour en savoir plus.

Des ponts thermiques dans les planchers, les balcons, les ouvertures…
Des ponts thermiques dans les planchers, les balcons, les ouvertures…

Comment éviter les ponts thermiques dans une maison?

Le calcul du flux de chaleur à travers l'enveloppe d'un bâtiment est beaucoup plus complexe que le calcul à travers les matériaux individuels, en particulier lorsque des composants hautement conducteurs comme l'acier ou le béton entrent dans la composition. Ainsi, la valeur R inscrite sur votre isolant indique ce dont il est capable, mais ses performances réelles dépendent de son positionnement dans l'assemblage final.

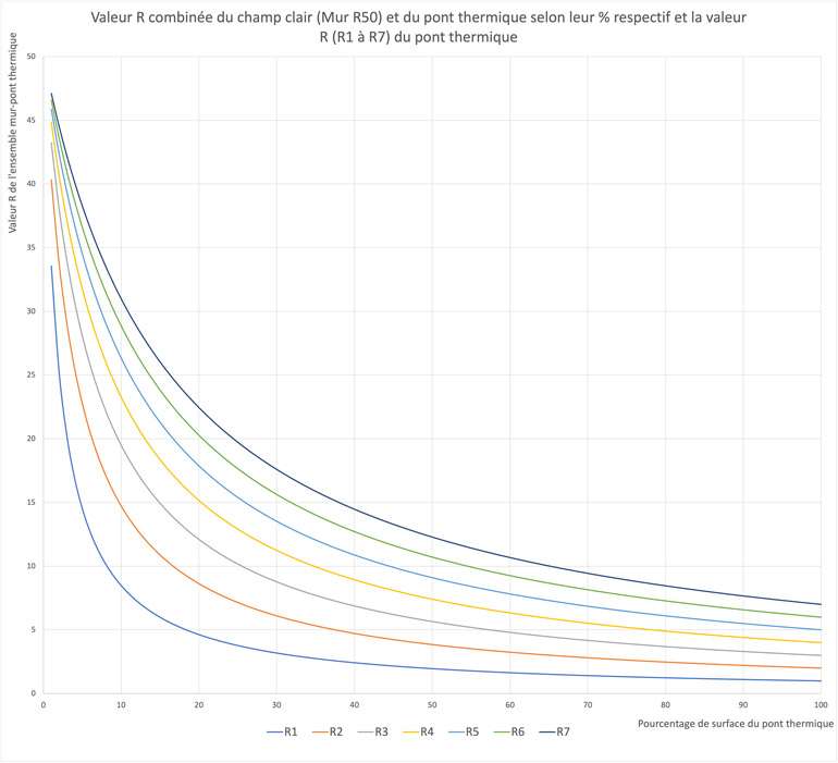
On voit par exemple que la valeur R d'un mur R50 chute à R15 lorsqu'il y a 20 % de ponts thermiques R4 dans le mur. Ce graphique montre surtout qu'il est inutile d'ajouter de l'isolant dans les murs sans d'abord se préoccuper des ponts thermiques.

raphique de la valeur R d'un ensemble mur (champ clair R50) et pont thermique, en fonction du pourcentage de surface du pont thermique par rapport à la surface de mur
Graphique de la valeur R d'un ensemble mur (champ clair R50) et pont thermique, en fonction du pourcentage de surface du pont thermique par rapport à la surface de mur

Construire ou rénover sans ponts thermiques

  1. Soyez conscient de votre ossature extérieure. Une partie du bois utilisé dans l'ossature extérieure peut être éliminée en toute sécurité - les chevêtres sur les murs non porteurs, les montants redondants dans les coins, etc.
  2. Évitez les fixations métalliques.
  3. Posez un isolant en continu sur toutes les parois.
  4. Concevez votre mur de sous-sol de manière à ce qu'il soit mieux protégé contre l'humidité et les dégâts d’eau.

Alors que de nombreux ponts thermiques peuvent être évités grâce à une bonne conception et une exécution adéquate, certains peuvent être plus difficiles à gérer, à cause de leur fonction structurelle, par exemple. À des endroits comme les jonctions murs/planchers, les pertes par pont thermique peuvent être excessives.

Du côté des fixations pour isolants rigides, les vis et clous en métal peuvent créer d'importants ponts thermiques, comme le montre l’image suivante. Il est possible de pallier à ce problème en étanchéisant parfaitement les cloisons. Il existe aussi des éléments en plastique, des tapcons en polypropylène rigide, qui sont très efficaces pour éviter les ponts thermiques dans le béton et la maçonnerie au moment de fixer des panneaux d'isolation rigide aux murs.

vis et clous métalliques sont des ponts thermiques
Les vis et clous en métal peuvent créer d'importants ponts thermiques © Benjamin Zizi, Écohabitation

Évitez d’utiliser les montants métalliques, préférez le bois

Les montants métalliques sont fréquents dans la construction résidentielle, mais ne donnent pas toujours de bons résultats :  la performance énergétique de l'enveloppe peut être sérieusement affectée si on remplace une ossature en bois par une ossature métallique. En effet, le métal conduit la chaleur si facilement qu'il n'y a guère d'intérêt à mettre de l'isolation de chaque côté. On estime que des montants métalliques avec des matelas dans les cavités peuvent réduire la performance globale de l'isolation de 60 à 70 %, voire plus.

Selon la Building Science Corporation, « la valeur R de montants d'acier de 6 pouces de profondeur installés à des centres de 16 pouces avec une isolation de la cavité de R-21 est réduite à R-7,4, une valeur représentant seulement 35 % de la valeur nominale ».

Ponts thermiques des montants d'acier versus des montants en bois
Ponts thermiques créés par des montants d'acier versus des montants en bois © Denis Boyer, Écohabitation

L'utilisation de montants métalliques a même été qualifiée d’« abomination » par Joe Lstiburek de Building Science Corporation : « Mettre de l'isolant entre des montants métalliques, c'est comme manger un pull pour essayer de rester au chaud ». Si le fait de placer des ponts thermiques de part et d'autre de l'isolant en natte réduit ses performances de moitié, cela signifie que vous avez essentiellement payé le double du prix pour la valeur R prévue. Vous feriez donc mieux d'investir votre argent dans d'autres solutions, comme l'utilisation du bois, qui agit comme un pont thermique, mais pas autant que le métal. Voyez ici pourquoi la structure de bois l'emporte face à l'acier et le béton, au niveau des ponts thermiques, des coûts et de l'empreinte écologique.

Vous en savez maintenant plus sur l'importance de réduire les ponts thermiques dans les bâtiments. Trouvez plus de pages sur l'efficacité de l'enveloppe ci-dessous et dans notre guide de la construction écologique.